干货 | OpenCV中KLT光流跟踪原理详解与代码演示
点击上方“小白学视觉”,选择加"星标"或“置顶”
重磅干货,第一时间送达
本文转自:opencv学堂
在视频移动对象跟踪中,稀疏光流跟踪是一种经典的对象跟踪算法,可以绘制运动对象的跟踪轨迹与运行方向,是一种简单、实时高效的跟踪算法,这个算法最早是有Bruce D. Lucas and Takeo Kanade两位作者提出来的,所以又被称为KLT。KLT算法工作有三个假设前提条件:
亮度恒定
短距离移动
空间一致性
对象中任意像素点p(x,y)亮度值,在t-1时候的值,在t时刻移动(u, v)之后亮度值保持不变

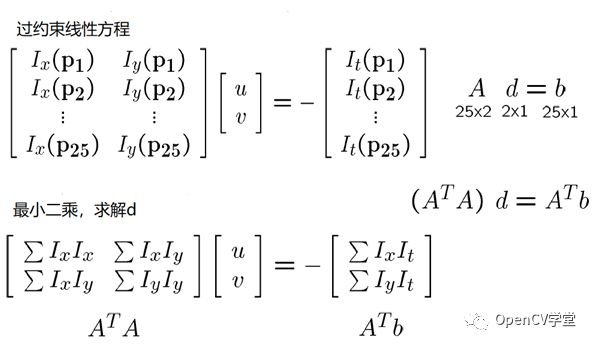
假设对像素点p(x, y)来说,周围的像素点都保持相同的移动距离(u, v) 假设窗口大小为5x5,则对于25个窗口内的像素点来说,就会如下等式成立:

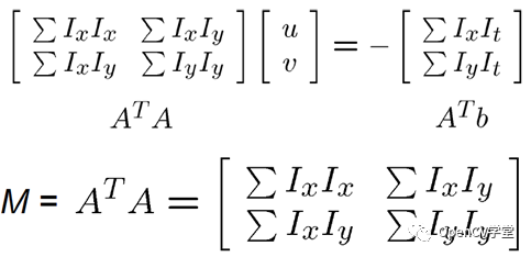
得到下面的过约束等式,根据最小二乘可以求解(u, v):

这样我们就得到了KLT光流等式与该窗口的的Hessian矩阵


通过建立每一帧的图像金字塔,实现尺度空间窗口目标对象搜索

OpenCV中KLT算法API及其参数解释如下:
void cv::calcOpticalFlowPyrLK(
InputArray prevImg, // 前一帧图像
InputArray nextImg, // 后一帧图像
InputArray prevPts, // 前一帧的稀疏光流点
InputOutputArray nextPts, // 后一帧光流点
OutputArray status, // 输出状态,1 表示正常该点保留,否则丢弃
OutputArray err, // 表示错误
Size winSize = Size(21, 21), // 光流法对象窗口大小
int maxLevel = 3, // 金字塔层数,0表示只检测当前图像,不构建金字塔图像
TermCriteria criteria = TermCriteria(TermCriteria::COUNT+TermCriteria::EPS, 30, 0.01), // 窗口搜索时候停止条件
int flags = 0, // 操作标志
double minEigThreshold = 1e-4 // 最小特征值响应,低于最小值不做处理
)
特征点检测与绘制的代码实现如下:
// detect first frame and find corners in it
Mat old_frame, old_gray;
capture.read(old_frame);
cvtColor(old_frame, old_gray, COLOR_BGR2GRAY);
goodFeaturesToTrack(old_gray, featurePoints, maxCorners, qualityLevel, minDistance, Mat(), blockSize, useHarrisDetector, k);
特征点绘制
void draw_goodFeatures(Mat &image, vector<Point2f> goodFeatures) {
for (size_t t = 0; t < goodFeatures.size(); t++) {
circle(image, goodFeatures[t], 2, Scalar(0, 255, 0), 2, 8, 0);
}
}
KLT跟踪代码如下
TermCriteria criteria = TermCriteria(TermCriteria::COUNT + TermCriteria::EPS, 30, 0.01);
double derivlambda = 0.5;
int flags = 0;
bool ret = capture.read(frame);
if (!ret) break;
imshow("frame", frame);
roi.x = 0;
frame.copyTo(result(roi));
cvtColor(frame, gray, COLOR_BGR2GRAY);
// calculate optical flow
calcOpticalFlowPyrLK(old_gray, gray, pts[0], pts[1], status, err, Size(31, 31), 3, criteria, derivlambda, flags);
特征点状态检查与匹配的代码如下
size_t i, k;
for (i = k = 0; i < pts[1].size(); i++)
{
// 距离与状态测量
double dist = abs(pts[0][i].x - pts[1][i].x) + abs(pts[0][i].y - pts[1][i].y);
if (status[i] && dist > 2) {
pts[0][k] = pts[0][i];
initPoints[k] = initPoints[i];
pts[1][k++] = pts[1][i];
circle(frame, pts[1][i], 3, Scalar(0, 255, 0), -1, 8);
}
}
// resize 有用特征点
pts[1].resize(k);
pts[0].resize(k);
initPoints.resize(k);
绘制跟踪轨迹的代码如下
// 绘制跟踪轨迹
draw_lines(frame, initPoints, pts[1]);
该方法实现如下:
void draw_lines(Mat &image, vector<Point2f> pt1, vector<Point2f> pt2) {
if (color_lut.size() < pt1.size()) {
for (size_t t = 0; t < pt1.size(); t++) {
color_lut.push_back(Scalar(rng.uniform(0, 255), rng.uniform(0, 255), rng.uniform(0, 255)));
}
}
for (size_t t = 0; t < pt1.size(); t++) {
line(image, pt1[t], pt2[t], color_lut[t], 2, 8, 0);
}
}左侧是视频的原始每一帧、右侧视频是每一帧中KLT算法实时轨迹绘制

交流群
欢迎加入公众号读者群一起和同行交流,目前有SLAM、三维视觉、传感器、自动驾驶、计算摄影、检测、分割、识别、医学影像、GAN、算法竞赛等微信群(以后会逐渐细分),请扫描下面微信号加群,备注:”昵称+学校/公司+研究方向“,例如:”张三 + 上海交大 + 视觉SLAM“。请按照格式备注,否则不予通过。添加成功后会根据研究方向邀请进入相关微信群。请勿在群内发送广告,否则会请出群,谢谢理解~
评论

